View Images Library Photos and Pictures. Que Es Un Plan De Investigacion Usac Estudiantes X Derecho Universidad De San Carlos De Guatemala Facultad De Ciencias Economicas Ppt Video Online Descargar In Ejemplo De Planteamiento Del Problema
. Http Biblioteca Usac Edu Gt Tesis 04 04 13207 Pdf Usac Estudiantes X Derecho Cuadro 1 Identificacion Y Definicion De Variables Ensayos Candelariacol
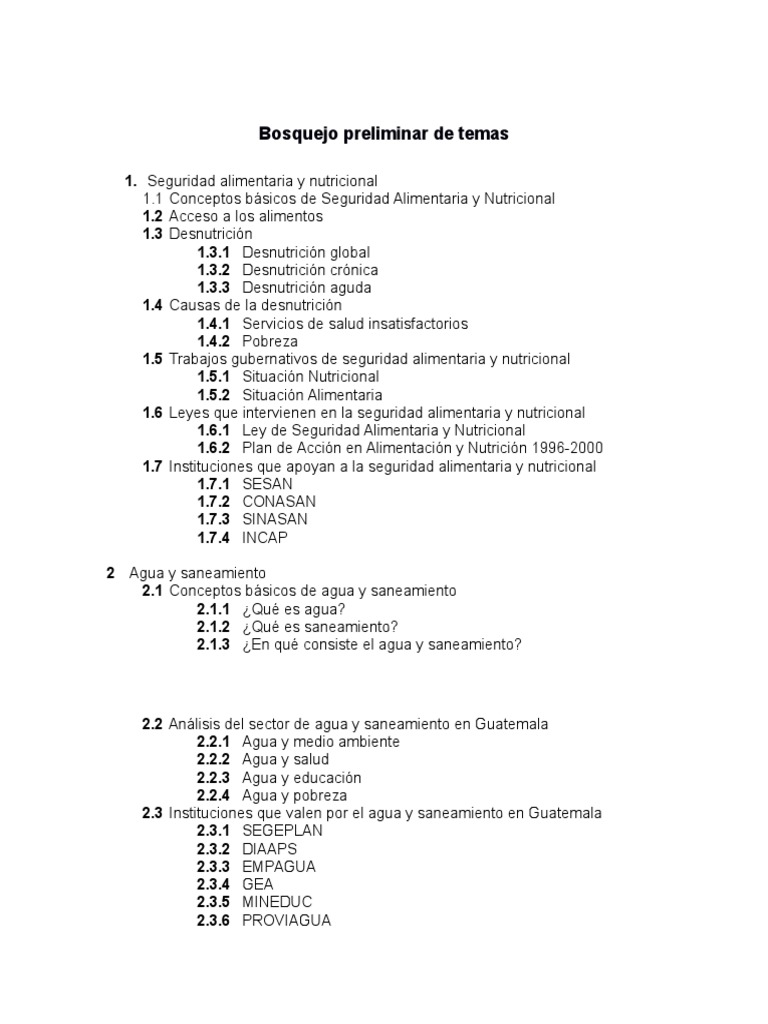
Ejemplo Bosquejo Preliminar De Temas
Ejemplo Bosquejo Preliminar De Temas
Ejemplo Bosquejo Preliminar De Temas
Http Biblioteca Usac Edu Gt Tesis 04 04 13207 Pdf
Bosquejo Preliminar De Temas Saneamiento Nutricion
Ejemplo Bosquejo Preliminar De Temas
Http Biblioteca Usac Edu Gt Tesis 04 04 14166 Pdf
Http Biblioteca Usac Edu Gt Tesis 04 04 5650 Pdf
Universidad De San Carlos De Guatemala Facultad De Ciencias Economicas Ppt Video Online Descargar
Plan Investigacion Costos Estandar Ap502 Usac Studocu
Examen De Tesis Derecho Financiero 243 Usac Studocu
Http Biblioteca Usac Edu Gt Tesis 04 04 14678 Pdf
Ti 2 Anexo Pdf Universidad De San Carlos De Guatemala Facultad De Ciencias Econ U00f3micas Escuela De Auditor U00eda Seminario Integrador Plan De Course Hero
Plan De Investigacion Usac Youtube
Universidad De San Carlos De Guatemala Facultad De Ciencias Economicas Ppt Video Online Descargar
Ejemplo Plan De Investigacion Usac
Centro Universitario De Sur Oriente Cunsurori Usac
Http Biblioteca Usac Edu Gt Tesis 04 04 5650 Pdf
Que Es Un Plan De Investigacion
Centro Universitario Del Sur Usac
8 Plan De Investigacion Practica Integrada By Ciencias Economicas Cunor Issuu
Normativas Para Elaboracion De Tesis Usac Universidad Guatemala
Http Biblioteca Usac Edu Gt Tesis 04 04 14166 Pdf
Estructura Tecnica Del Informe De Investigacion En Ccee Usac Pdf Document
25 Plan De Investigaci U00f3n De Estados Financieros Consolidados Y Separados Docx Universidad De San Carlos De Guatemala Facultad De Ciencias Course Hero



Comments
Post a Comment